That reliance on chaotically intermittent wind and solar sends power prices into orbit is no surprise to a German, South Australian or Dane. That RE obsessed trio slug it out for the honour of suffering the world’s highest power prices (see above).
Try as they might, RE zealots simply can’t escape the bleeding obvious: South Australia’s 50% Renewable Energy Fail: World’s Highest Power Prices Caused by Subsidised Wind & Solar
But don’t just take our word for it, a group of economists from the Energy Policy Institute of Chicago have delved into the data to show the relationship between the Renewable Portfolio Standard (the wind and solar mandate/subsidy that applies in some 29 of the US States) and rising retail power prices.
Well. Surprise, surprise! The EPI’s thorough and painstaking research has confirmed what long-suffering Germans, South Australians and Danes know, all too well.
Do Renewable Portfolio Standards Deliver?
Energy Policy Institute of Chicago
Michael Greenstone, Richard McDowell, and Ishan Nath
21 April 2019
Abstract
Renewable Portfolio Standards (RPS) are the largest and perhaps most popular climate policy in the US, having been enacted by 29 states and the District of Columbia.
Using the most comprehensive panel data set ever compiled on program characteristics and key outcomes, we compare states that did and did not adopt RPS policies, exploiting the substantial differences in timing of adoption.
The estimates indicate that 7 years after passage of an RPS program, the required renewable share of generation is 1.8 percentage points higher and average retail electricity prices are 1.3 cents per kWh, or 11% higher; the comparable figures for 12 years after adoption are a 4.2 percentage point increase in renewables’ share and a price increase of 2.0 cents per kWh or 17%.
These cost estimates significantly exceed the marginal operational costs of renewables and likely reflect costs that renewables impose on the generation system, including those associated with their intermittency, higher transmission costs, and any stranded asset costs assigned to ratepayers.
The estimated reduction in carbon emissions is imprecise, but, together with the price results, indicates that the cost per metric ton of CO2 abated exceeds $130 in all specifications and ranges up to $460, making it least several times larger than conventional estimates of the social cost of carbon.
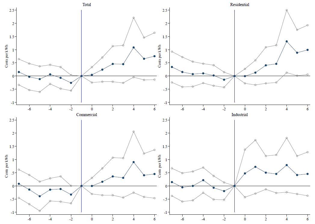
Figure A.4: Electricity Prices Before and After RPS Passage, by Sector. The x-axis represents years before and after the introduction of the Renewable Portfolio Standard, and the y-axis the costs per kWh. The blue line is the average, and the grey lines above and below represent standard errors.
Download PDF viersion of full paper: Do_RPSs_Deliver
Energy Policy Institute of Chicago
Or, simpler still, here’s how an obsession with heavily subsidised and chaotically intermittent wind and solar panned out in Australia.



Reblogged this on ajmarciniak.
Gday STT, thought you might be interested in this quote from a delingpole article this week about the UK “zero” emissions by 2050, looked at as a global target……. “University of Colorado scientist Roger Pielke Jr. did some of the rough numbers. “There are 11,161 days until 2050. Getting to net zero by 2050 requires replacing one mtoe of fossil fuel consumption every day starting now.” On a global basis, such a transition would require building the equivalent of one new 1.5-gigawatt nuclear plant every day for the next 30 years.
If not nuclear, then maybe solar? According to a U.S. government site, it takes about three million solar panels to produce one gigawatt of energy, which means that by 2050 the world will need 3,000,000 X 11,865 solar panels to offset fossil fuels. The wind alternative would require about 430 new wind turbines each of the 11,865 days leading to 2050.”
https://www.breitbart.com/europe/2019/06/25/britain-signs-1-trillion-net-zero-carbon-suicide-note/
Reblogged this on Climate- Science.