Wrecking Ball: Democrat’s Deluded Wind & Solar Plan Would Destroy US Economy Overnight

  Democrats are determined to deliver California’s renewable energy debacle to all and sundry. If Sleepy Joe Biden, AOC and her Squad get the keys to the White House this November, their New ‘Green’ Deal is guaranteed to deliver rocketing power prices and rolling blackouts across the USA. While there’s been plenty of lip service … Continue reading Wrecking Ball: Democrat’s Deluded Wind & Solar Plan Would Destroy US Economy Overnight

Shredded: After 30 Years Wind & Solar ‘Industries’ Still Can’t Compete With Nuclear, Coal or Gas

Back in 1983 the American Wind Industry Association claimed that solar and wind would be “competitive and self-supporting on a national level by the end of the decade if assisted by tax credits and augmented by federally sponsored R&D”. That was 36 years ago. And there was no lack of assistance in the form of … Continue reading Shredded: After 30 Years Wind & Solar ‘Industries’ Still Can’t Compete With Nuclear, Coal or Gas

Battle Lost: Mob Turns Against Chaotically Intermittent & Heavily Subsidised Wind & Solar

  Seems like only yesterday when you were hard pressed to find anything in print criticising wind and solar, save for sites like this one. Nowadays, there’s a veritable smorgasbord. Quite a few mainstream journalists are waking up to the greatest economic and environmental fraud of all time. STT has been joined by dozens of … Continue reading Battle Lost: Mob Turns Against Chaotically Intermittent & Heavily Subsidised Wind & Solar

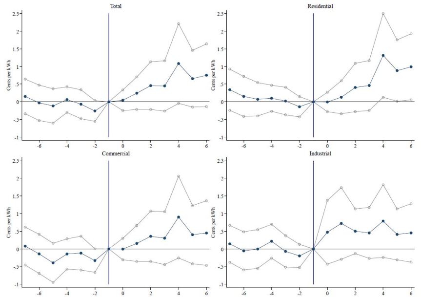
Guaranteed ‘Green’ Energy Punishment: US Renewable Portfolio Standards Send Power Prices Soaring

That reliance on chaotically intermittent wind and solar sends power prices into orbit is no surprise to a German, South Australian or Dane. That RE obsessed trio slug it out for the honour of suffering the world’s highest power prices (see above). Try as they might, RE zealots simply can’t escape the bleeding obvious: South … Continue reading Guaranteed ‘Green’ Energy Punishment: US Renewable Portfolio Standards Send Power Prices Soaring