‘Annoyance’ is a term much used, and frequently abused, in relation to the acoustic torture caused by incessant turbine generated low-frequency noise and infrasound.
Those that abuse the term, including a former tobacco advertising guru, claim that the known and obvious effects of being immersed in thumping waves of pulsating air pressure (ie noise and vibration), night after merciless night (such as sleep deprivation) are all the product of fertile imaginations and/or scaremongering.
Unfortunately for the guru and his shameful ilk, cases such as Clive and Trina Gare put paid to that lie. The Gares are cattle graziers with their home property situated between Hallett and Jamestown and, since October 2010, have played host to 19, 2.1MW Suzlon s88 turbines, which sit on a range of hills to the West of their stately homestead. Under their contract with AGL they receive around $200,000 a year; and have pocketed over $1 million since the deal began.
On 10 June 2015, the Gares gave evidence to the Senate Inquiry into the great wind power fraud during its Adelaide hearing: [Hansard from the hearing is available here as HTML and here as a PDF (the Gare’s evidence commencing at p55)].
Their evidence destroys the wind industry lie that turbine hosts never, ever complain; and the propaganda that it’s only “jealous” wind farm neighbours who complain about wind turbine noise, “jealous” because they’re not getting paid, apparently. The Gares pocket $200,000 a year for the ‘pleasure’ of hosting 19 of these things; and, yet, make it very clear that it was the worst decision of their lives.
In their evidence they describe the noise from turbines as “unbearable”; requiring earplugs and the noise from the radio to help them get to sleep at night; and the situation when the turbines first started operating in October 2010 as “Crap, to put it honestly” – evidence which is entirely consistent with the types of complaints made routinely by wind farm neighbours who don’t get paid, in Australia and around the world. Despite AGL spending tens of thousands on noise “mitigation” measures – double glazing, sound deadening insulation and the like, the noise from turbines continues to ruin their ability to sleep in their own home, as Trina Gare put it:
No, they were waking me up on the weekend. You wake up to the thumping. This is with all the soundproofing in the house. As I said, I sleep with the radio on every night. If they are really cranked up I have to turn the volume up, so I will probably just go slowly deaf.
In her evidence Trina Gare stated, in the same terms as her husband Clive, that:
In my opinion, towers should not be any closer than five kilometres to a dwelling. If we had to buy another property, it would not be within a 20-kilometre distance to a wind farm. I think that says it all.
For more on the Gare’s experience, see our post here.
As to the real meaning of the term ‘annoyance’ – in the realm of acoustics (which is what matters here) it has nothing to do with whether wind farm neighbours detest the look these things; and is all to do with hard-wired and involuntary neurological responses to a man-made stimuli received and processed in the brain.
Waking up to a clap of thunder or the screaming siren of a smoke alarm is an integral part of a biological system designed to respond to unseen, nocturnal threats and to, thereby, keep itself alive. So far, so obvious.
For a properly qualified expert’s view on annoyance, here’s what Dr Bob McMurtry told the Senate Inquiry last year:
First, adverse health effects have been reported globally in the environs of wind turbines for more than 30 years with the old design and the new.
Second, the wind energy industry has denied adverse health effects, preferring to call it ‘annoyance’ even though annoyance, however, is an adverse health effect. Certainly it is a non-trivial effect when sustained because it results in ‘sleep disruption’, ‘stress’ and ‘psychological distress’— those are direct quotes from others’ research.
Third, annoyance is recognised and was treated by the World Health Organization as an adverse health effect, which is a risk factor for serious chronic disease including cardiovascular and cancer.
Fourth, experts retained by the wind energy industry have preferred the diagnosis of nocebo effect to explain the adverse health effects, but the claim does not withstand critical scrutiny as there is a dose-response effect and nocebo does not have a dose-response effect. And there is a clear correlation between exposure and adverse health effects. Researchers have talked about dose-response. I should also comment that making that diagnosis without a comprehensive evaluation of a person or patient would qualify as non-practice, and I know that has been said in this committee before.
One question though is what it is about wind turbine noise emissions, that makes them just so incredibly annoying?
That question was taken up by a team of American researchers and the answer was published last month in the Journal of the Acoustic Society of America. This time, the work was done in the lab, with volunteers exposed for half-a-minute; rather than on unwilling victims subjected to a life-time of relentless sonic torture.
We have picked out the thrust of the study below and the whole paper is available in PDF here: Short-term annoyance reactions to stationary and time-varying wind turbine and road traffic noise
To the wind industry’s countless victims, the results will come as no surprise.
Short-term annoyance reactions to stationary and time-varying wind turbine and road traffic noise
Journal of the Acoustic Society of America 139, 2949 (2016)
Beat Schäffer, Sabine J. Schlittmeier, Reto Pieren, Kurt Heutschi, Mark Brink, Ralf Graf and Jürgen Hellbrück
24 May 2016
Abstract
Current literature suggests that wind turbine noise is more annoying than transportation noise. To date, however, it is not known which acoustic characteristics of wind turbines alone, i.e., without effect modifiers such as visibility, are associated with annoyance.
The objective of this study was therefore to investigate and compare the short-term noise annoyance reactions to wind turbines and road traffic in controlled laboratory listening tests. A set of acoustic scenarios was created which, combined with the factorial design of the listening tests, allowed separating the individual associations of three acoustic characteristics with annoyance, namely, source type (wind turbine, road traffic), A-weighted sound pressure level, and amplitude modulation (without, periodic, random).
Sixty participants rated their annoyance to the sounds. At the same A-weighted sound pressure level, wind turbine noise was found to be associated with higher annoyance than road traffic noise, particularly with amplitude modulation.
The increased annoyance to amplitude modulation of wind turbines is not related to its periodicity, but seems to depend on the modulation frequency range. The study discloses a direct link of different acoustic characteristics to annoyance, yet the generalizability to long-term exposure in the field still needs to be verified.
What they did
In this study the researchers recruited 60 participants (ages 18-60; median age 35 years; self reporting that they had normal hearing and felt well at the time of the experiment) and asked them to listen to 30 sounds (each 25 second long recordings) in a semi-sound proof room.
While listening to each of the individual sounds, separated only by a second, they were asked to respond (using a computer) to this question:
When you imagine that this is the sound situation in your garden, what number from 0 to 10 represents best how much you would be bothered, disturbed or annoyed by it?”
The sounds had been synthesized to represent wind turbine noise or road traffic noise of equivalent A weighted sound pressure levels. Comparisons were made over a range of sound pressure levels and with different types of amplitude modulation.
‘Without amplitude modulation’ corresponds to a stationary noise. Wind turbine noise with periodic amplitude modulation represent situations with high-frequency swishing (normal amplitude modulation) as well as low-frequency thumping sounds (other amplitude modulation). Random amplitude modulation is more typical of road traffic noise on streets with low or intermediate traffic density. The authors acknowledged that because that some of these noises (such as periodic traffic noise) would not necessarily occur in nature but were included for completeness in the study.
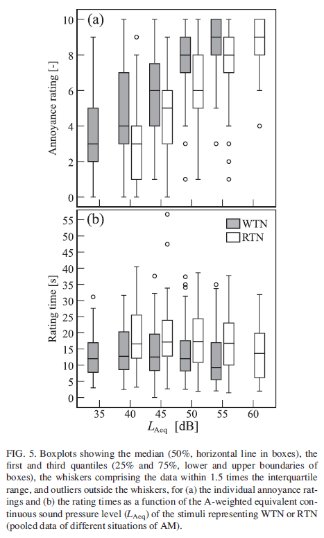
At all sound pressure levels tested, the participants found that wind turbine noise was more annoying that its road traffic noise equivalent.
They even looked at how long it took for the participants to record their annoyance – and in all tests wind turbine noise was found to be more annoying and at a much earlier time, when compared to road traffic noise. In fact, as participants listened to more samples of wind turbine noise they became increasingly more annoyed and formed their opinion quicker as they became accustomed to just how annoying wind turbine sounds could be.
As part of their study they tried to prove that the characteristics of the participants were not playing a role in how annoying they were finding wind turbine noise. They were able to eliminate gender, age, how sensitive the person was annoyance in general, as well as their attitude towards the sources (wind turbine noise or road traffic noise). Wind turbine noise was just more annoying to everyone.
They pooled the results and compared annoyance to the A weighted equivalent continuous sound pressure level with and without the different types of amplitude modulation. Periodic and random modulation of wind turbine noise increased the annoyance, but the same pattern could not be seen in road traffic noise. They concluded that the increased annoyance reaction to amplitude modulation of wind turbine noise was not related so much to the period, but more on the modulation frequency range.
While the study has plenty of obvious limitations – subjects were only exposed to a short sound grab of 25 seconds – by way of comparison with road traffic noise, it vindicates wind farm victims and provides yet more objective proof to reject the wind industry’s nocebo nonsense, if any more was needed.
Oh, and if the factor of human fallibility in this experiment troubles scientific types, why not check out the ‘experiment’ being conducted with Britain’s Badgers Wind in the Gallows: Study Shows Badgers Suffer Merciless Stress & Torment from Wind Turbine Noise & Vibration
Pretty hard to suggest that badgers suffering immune system destroying stress for the very same reasons – exposure to incessant wind turbine noise and vibration – are, somehow, victims of ‘suggestibility’ or their aesthetic take on these things.
Slowly, but surely, the evidence supplants the lies and the myths.







Reblogged this on How Green Is This.
Yes, more myth-busting studies please! Thanks STT.
On a positive note, depending on which way you look at it, the message seems to be getting out there that these things are indeed noisy.
I recently purchased the magazine How It Works – Extreme Weather, which is a UK publication, and was surprised to see that on Page 148 they stated the pros and cons of each power generation source. For Wind power they stated that the cons were that it is ‘Noisy’ and expensive to set up. It is also reliant on wind. To be able to casually purchase this magazine from the Mount Gambier high street newsagent was to my mind a major breakthrough. This is exactly the sort of magazine a child or anyone else that knows little about wind power can pick up and buy for reference and may be surprised to learn that industrial wind turbines ARE noisy. If this is the message that is getting out there in the Northern Hemisphere, no wonder the wind companies are down here in Oz trying to get as many wind farms up as they can before the public at large catches on to the wider opinion that wind farm noise IS real.
And to backup this point please see my video link below…
https://www.youtube.com/watch?v=4YvyawZDg2w
As a footnote to this video I can report that in June 2016, this very noise has returned.
In addition to the above video I have also managed to locate the video link below to the music school Point Blank in London who have done a tutorial on mixing sub bass. It may be of interest in understanding low frequency sound and the types of speakers needed to hear it. It may also be a good idea to put headphones on if you only have small speakers. Otherwise you may not be able to actually hear the low frequency bass that this tutorial deals with.
Hope this link works…
It doesn’t appear that they exposed the participants to very low frequency sound. They mention only the frequency oscillation in the text, and fig 3 goes down to about 17.5 dB at roughly 30 Hz for the stimuli they were hearing. They should’ve hooked up the biggest, lowest reaching woofers they could find, with enough amplification, to give more true to life results. The piddly little speakers in the photograph do not have sufficient frequency range.
True, but no doubt the next study can and will, with fairly obvious results.